Content: chud_3_v01_01.zip (41.44 KB)
Uploaded: 13.08.2012

Positive responses: 0
Negative responses: 0

Sold: 22
Refunds: 0

Seller: Chudesenko
information about the seller and its items

Ask a question

Loyalty discount! If the total amount of your purchases from the seller more than:

$1 the discount is 1%
$3 the discount is 2%
$5 the discount is 3%
$30 the discount is 5%
$50 the discount is 7%
$100 the discount is 10%
$250 the discount is 15%
$0.75
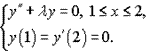
Решение задачи 1.1 (задача 1 вариант 1) по высшей математике из раздела: Уравнения Математической Физики (УМФ). Задачник: Чудесенко В.Ф. Сборник заданий по специальным курсам высшей математики (типовые расчеты). — М: Высшая школа. Решение подходит для изданий: 1983 (1994, 2005-2009) гг..
После оплаты вы получите архив zip. Решение выполнено в электронном виде и сохранено в виде картинки в формате tif. Открывается любой программой. Разрешение 300 dpi. Решение неоднократно сдавалось в ВУЗах России. Все недочёты исправлены.

Буду очень благодарна, если Вы оставите ПОЛОЖИТЕЛЬНЫЙ ОТЗЫВ после покупки.
СПАСИБО!
No feedback yet